随着2022赛季F1新规实施,破风板将不复存在。究竟什么是破风板?它的作用到底几何?F1的设计师们会不会在2022赛季的赛车设计上参考它的作用?
破风板的起源
破风板最早在F1赛车上的应用要追溯到1985年,当年的莲花97T赛车和迈凯伦MP4-2B赛车在前轮后方布置了一个类似的装置。当时的规则下赛车的整车宽度是2.15米,其中车身宽度1.4米。相比现代赛车敏感的底盘,在当时赛车规则下,前轮所产生的气流要更加靠外侧。同时当时的轮胎体积相对较小,对于整车的气流更加难以定义和控制。

破风板在上世纪80年代并不是大家所使用的标配,莲花99T赛车就将其摒弃。然而,轮胎气流管理作用在80年代末到90年代初由于普遍存在的前翼端板延长而开始得到重视。因为这样以来轮胎气流就可以直接向外引导,从而远离车体。在1994年伊莫拉出现致命事故之后,F1在前轮周围设立车身部件的禁止区域,并在当赛季晚些时候重新引入了破风板,在威廉姆斯FW16B上就可以看到。

对于在上世纪90年代中期至21世纪初期,破风板的设计主要分为两种派系
1. 在前悬挂下方使用一个小的叶片设计,在规则允许的情况下使其尽可能靠近前轮内侧面
2. 在前轮后方,侧箱前方设立一个高叶片,其前侧边缘更加靠近底盘,并且尽可能达到底盘宽度的极限。同时上端向下倾斜,类似下图中BAR002的设计
上述的两种不同的概念也决定了不同的功能,更加向前的破风板使得前轮响应更加直接,同时也让赛车后部设计对于底盘下方更加有利。在之后的几年,由于计算流体力学(CFD)技术的飞速发展,越来越多的车队在气动设计方面取得了巨大的进展。上述两种概念被许多车队合二为一,破风板更加靠前的部分被重新命名为“转向叶片”(Turning vane),和破风板主体分离开来,避免车队内部沟通出现混淆。

破风板的气动效应
如果说破风板的作用只是控制前轮后方的气流,是远远不够的。但这确实是最初引入破风板的目的。在1994年中期F1引入“除外区域”规则之后,车体只允许在前轮附近一定体积范围内出现。2009年之前,破风板“限制区域”的相对体积要小很多,甚至比2017年规则专门为了增加破风板体积之后。
从1995年至2008年,破风板的设计更加靠近轮胎,进而对于轮胎周围的气流产生了影响。如图所示,在这种情况下更靠前的破风板对于创造外洗气流,阻止前胎气流向内侧导入至扩散器起到了更重要的作用。

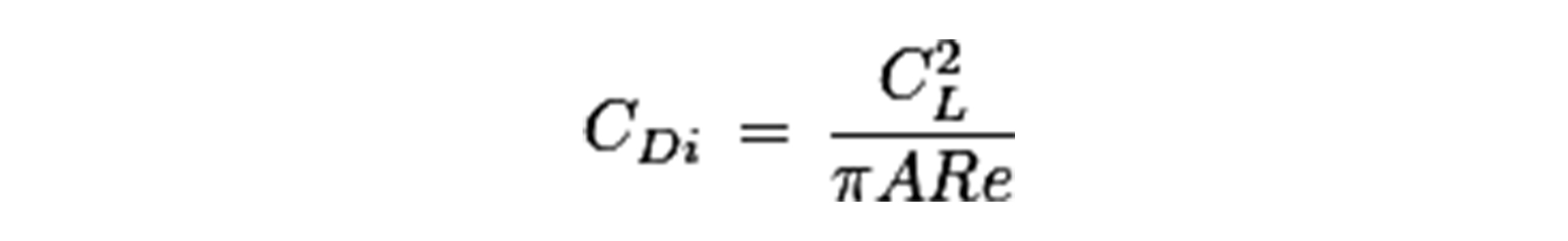
破风板的第二大作用,或者说更有利的作用是产生下洗。破风板的本质是非常低纵横比的翼片翻转至两侧,纵横比(AR)是翼展(b)和弦(c)的比率。

对于长方形的翼片,b代表翼展,c代表弦长。由于纵横比很低,破风板产生了强烈的尖端涡流。涡流的环量和翼展跨度成反比。

由于强大的尖端涡流产生,破风板产生了大量的诱导阻力,和纵横比呈现反比状态。

其中,e代表效率因子,在长方形翼片的情况下e取0.7;在椭圆形翼片的情况下e取1.0。
过多的诱导阻力通常不是一个积极的信号。然而破风板和涡流对于赛车的其他部分产生了巨大的下压力优势,并且提升了整车的空气动力学效率,这使得破风板成为了赛车的基础部件。上方涡流用于向下旋转空气,并在赛车底部前缘下方增加质量流量和底板前缘的迎角,提升峰值吸力。当较低的涡流通过底板下方时,其低压核心会帮助赛车底部下压力获得提升,此外还有更多有利的事情出现。破风板不断增加端板,其作用类似前翼端板,帮助削弱下方涡流并改变其空间位置。
抵消上方涡流和下方涡流对于提升底板边缘下洗气流起到了有利的作用,此外它们还产生了向下合并的效果(类似于从尾翼对侧涡流产生的中心线上洗)。如同2017-2021年的赛车破风板设计,很容易看出破风板的用途,上半部分用于产生下洗气流,下半部分用于产生下压力。

2009年的规则中,为了“清理”掉前胎周围的气流,减少下压力的同时减少整车气流复杂程度,规则上发生了剧烈的变动以减少破风板区域的整体效率。前胎周围设立了更大的“限制区域”禁止车身部分触及,使得破风板的体积大幅度减小。如此一来,车队纷纷将转向叶片放置在了距离轮胎侧面更近的位置,来减少对于前轮周围气流的影响。意外的是,车队发现了这里和新形成的前翼Y250区域形成了新的通路。这正好可以实现破风板的下洗作用。最终的结果的2009年的赛车下压力损失普遍要比预期的小一些。当年的双层扩散器和外洗前翼端板也颠覆了规则最初的用意。

2017年由于宽版轮胎的引入,F1技术规则出现了不小的调整。更宽的赛车,更宽的轮胎,更大的后部扩散器,更加激进的后掠式翼片和更大的破风板随之出现。这些新规的引入都是为了帮助赛车获得更大的下压力,从而帮助提升圈速。但带来的负面影响就是超车变得愈发困难。
由于破风板区域的限制减少,赛车其余部分的设计的规定也更加宽松,破风板的设计成了大家气动设计竞赛的擂台。各式各样的翼片和端板纷纷被设计到了这片区域当中。2019年随着前翼和前刹车通风导管的简化,破风板对于整车的空气动力学影响加剧,设计师们对于这片风水宝地开始了更加深度的研究。

2022年由于全新规则的引入,破风板将不复存在,其功能也将被赛车其他部分所取代。由于新规允许在底盘前方两侧各拥有至多4个围栏区域,这片区域的本质是作为强大的涡流生成器,其形状可以在赛车底盘的气流通道周围产生低压区。这片区域的规则会比2017-2021年的规则更为严苛,包括坡度,厚度和垂直形状都在规则中加以明确。这片围栏区域的重要性不言而喻,可以贡献整车大约10%的下压力,或者15%-20%赛车底盘侧产生的下压力。
小结
破风板从1994年被广泛使用至2021赛季,2022赛季将不复存在。但其作用依然被全新设计哲学的赛车底盘所体现。对于那些喜爱复杂设计的人们来说是一大损失,而对于另外一些喜爱简洁设计同时不失其原有功能的人们来说,新规则就是另一个天堂了。
作者:Joshua Newbon